GÉNÉRALITÉS


La génétique

L´évolutionnisme

Les algorithmes génétiques

















































La génétique

         Qu´est-ce qu´est la génétique ?

         La variation

         La théorie chromosomique de l´hérédité

Qu´est-ce qu´est la génétique ?

         Un être vivant se distingue facilement d´un objet inerte de par sa forme, ses fonctions et, surtout, par le fait qu´il est capable de se reproduire. Ainsi la notion de vivant est-elle intimement liée à celle de mort (des individus) et d´évolution (d´une population). La reproduction ne concerne pas seulement une population, mais encore chaque individu qui la compose. En effet tout être vivant est un système ouvert échangeant de l´énergie avec son environnement et sa stabilité repose sur la prolifération incessante des cellules qui le constituent.
         Mais la permanence d´un individu, comme d´une population, n´est maintenue qu´au prix d´une variation qui constitue une autre propriété fondamentale de la vie et qui a été mise en évidence par Gregor MENDEL au milieu du XIXe siècle avec les lois de l´hérédité. Celles-ci s´expliquent par la notion de gène qui est un segment de molécules d´acide désoxyribonucléique (ADN) servant de modèle pour coder la synthèse des molécules protéiniques.
         La génétique, qui étudie la reproduction et la variation, pose le problème de l´évolution.

La variation

         Les variations acquises (comme le brunissement de la peau au soleil) ne sont pas héréditaires (contrairement a ce que stipule le LAMARCKISME). Elles ne correspondent qu´à des variations des potentialités de l´organisme, celles-ci seules étant transmissibles.
         Les mutations apparaissent comme facteur de variation dans la reproduction par divisions cellulaire (la mitose) qui, sans elle, donnerait lieu à une population de clones. Une mutation est un accident aléatoire survenu lors d´une reproduction conforme dont la fréquence est faible (de l´ordre de 1/10000 chez l´homme).
         Le recombinaison génétique apparait chez les organismes supérieurs à reproduction sexuée. Dans ce cas la variation ne résulte pas de la modification accidentelle d´un modèle (comme l´est la mutation), mais d´un échange entre deux modèles différents. Sauf pour les vrais jumeaux (issus d´un oeuf unique), deux enfants ayant les mêmes parents sont toujours différents.

La théorie chromosomique de l´hérédité

         Gregor MENDEL (1822-1884) expérimenta des croisements entre deux espèces de pois, les pois ronds et les pois ridés, et en déduisit des lois qui portent son nom:
         La première loi stipule que la première génération est uniforme, c´est à dire que tous les pois présentent le caractère de l´un des parents, ici ce sont tous des pois ronds (on dit que le caractère rond est dominant).
         La deuxième loi concerne la deuxième génération, issue par croisement de cette première génération uniforme: Elle n´est plus uniforme et le caractère "pois ridé" est repparu avec la fréquence de 1/4. Les autres pois, dans la proportion 3/4, sont ronds mais ne sont pas génétiquement uniformes et 1/3 des pois issus par autofécondation sont ronds (identiques à ceux de la variété parentale pure), les deux autres tiers sont ridés et pourront fournir 3/4 de pois ronds et 1/4 de pois ridés (identiques à ceux de la première génération).
         À partir des pois ridés de la deuxième génération on ne peut obtenir, par autofécondation, que des pois ridés. En résumé, la deuxième génération est composée de 3 types de pois: Les deux types purs en proportion 1/4 pour les pois ronds et 1/4 pour les pois ridés, et un type, en proportion 1/2, pouvant reconstiter la première génération. Ces proportions simples suggèrent des lois statistiques. Les gènes contiennent les caractères des organismes et peuvent se reproduire à l´identique (copie) ou subire des mutations. La figure 1-1 illustre les lois de MENDEL: R désigne les pois ronds et r les pois ridés. Les R/R et r/r désignent les deux homozygotes. R/r rt r/R désignent les deux hétérozygotes.


  Parents   Gamètes   1e génération       Gamètes     2ème generation

Figure 1-1: Les lois de MENDEL


         Chez les organismes supérieurs la reproduction sexuée est réalisée par des cellules spéciales appelées gamètes. L´union d´un gamète mâle et d´un gamète femelle produit un zygote (ou oeuf), cellule originelle à partir de laquelle se développera un individu. Si les deux gamètes sont identiques l´individu est dit homozygote, sinon il est dit hétérozygote. Lors de la reproduction, chaque individu tirant au hasard un gamète mâle et un gamète femelle il se produira 1/4 de chacun des deux types d´homozygotes et 1/2 d´hétérozygotes.
         Lorsque les parents différent par plus qu´une alternative, la formation des gamètes chez les hétérozygotes est réalisée indépendamment pour chaque couple d´opposition. Ainsi le croisement de deux variétés de pois, l´une à pois ridés et jaunes et l´autre à pois ronds et verts, donne une première génération uniforme de pois ronds et jaunes (jaune étant dominant par rapport à vert) correspondant à un génotype d´hétérozygotes d´ordre 2 R/r J/v. Il se formera ensuite 4 types de gamètes RJ, Rv, rJ, rv en nombres égaux. Lors de la reproduction leur appariement aléatoire produira 9 génotypes regroupés en 4 phénotypes: RJ,Rv,rJ et rv de probabilités respectives 9/16, 3/16, 3/16 et 1/16. Ce principe se généralise sans difficulté à un nombre quelconque d´alternatives.

L´évolutionnisme

         La théorie de l´évolution

         Le Lamarckisme

         Le Darwinisme

La théorie de l´évolution

         La notion d´évolution apparaît la première fois avec LAMARCK en 1809. En 1858 Charles DARWIN propose une théorie pour expliquer la genèse des espèces par filiation directe et continue: La Sélection Naturelle favorisant la reproduction des individus les mieux adaptés. Les preuves de l´évolution sont aujourd´hui irréfutables, et seules certaines sectes et une partie de l´extrême droite (en particulier pour ce qui y est de la notion de "race") ne l´acceptent pas.

Le Lamarckisme

         LAMARCK est le père de l´évolutionnisme, il dit que les êtres évoluent des plus simples (les infusoires) aux plus complexes (les mammifères) et énonce deux lois:
         1) "Dans tout animal qui n´a point dépassé le terme de ses développements, l´emploi plus fréquent et soutenu d´un organe quelconque fortifie peu à peu cet organe, le développe, l´agrandit et lui donne une puissance proportionnée à la durée de cet emploi; tandis que le défaut constant d´usage de tel organe l´affaiblit insensiblement, le détériore, diminue progressivement ses facultés et finit par le faire disparaître."
         2) Les caractéres acquis sont héréditaires. Cette deuxième loi a été contredite par l´expérience: Les caractères acquis ne sont pas transmissibles.

Le Darwinisme

         DARWNIN inventa le Transformisme vers 1830 en observant que des espèces isolées dans des iles évoluaient différemment des mêmes espèces restées sur le continent.
         1) Dans une espèce donnée les jeunes sont tous différents entre eux et ne ressemblent pas exactement à leurs parents. D´autre part il existe une variabilité acquise due aux changements du milieu, et il existe aussi une variabilité imprévisible due aux mutations.
         2) La sélection artificielle fortifie les caractères choisis.
         3) La sélection naturelle a les mêmes effets que la sélection artificielle.
         4) La sélection est le résultat de la compétition entre individus, ou entre espèces, pour survivre, trouver de la nourriture.
         5) La sélection travaille sur des caractères arbitraires, le seul critère étant que ce caractère donne un certain avantage à l´individu qui le possède.
         La sélection naturelle aboutit à la survivance des plus aptes et à la disparition des autres.

Les algorithmes génétiques

         Les machines et la vie

         Qu´est ce qu´est un algorithme génétique ?

         Méthodes d´optimisation

       Caractérisation des algorithmes génétiques

Les machines et la vie

         On a déja vu la différence entre les ordinateurs classiques et le cerveau humain, et on a montré à cette occasion que la simulation du fonctionnement du système nerveux par des réseaux neuronaux ouvrait la voie à un nouveau mode de pensée, le connexionnisme, par opposition à la pensée algorithmique.
         De même, on pourrait s´inspirer de la façon dont la nature trouve des solutions à des problèmes de survie, pour construire des machines qui découvriraient les réponses à des questions sans passer par l´écriture d´un algorithme.
         Dans les années soixante dix John HOLLAND inventa les algorithmes génétiques dans ce but.
         Remarquons que qualifier d´"algorithme" une méthode visant à se passer justement des algorithmes n´est contradictoire qu´en apparence: Il ne s´agit en effet que d´éviter au programmeur de passer par l´écriture d´un algorithme particulier pour chaque problème.

Qu´est ce qu´est un algorithme génétique ?

         Un algorithme génétique est caractérisé par:
         1) Les solutions qu´il trouve n´ont pas été codées par le programmeur mais découlent directement du fonctionnement de l´algorithme lui-même.
         2) Il peut être appliqué à toute une classe de problèmes n´ayant que peu de rapport avec le problème initial.
         3) Pour ce faire l´algorithme traite des populations de solutions (construites aléatoirement, donc peu performantes) qu´il fait évoluer par croisements et mutations en sélectionnant celles qui répondent le mieux à une certaine fonction d´adaptation. La théorie de l´évolution stipule que de telles populations s´améliorent au cours de leurs reproductions et que, au bout d´un certain temps, apparaissent des solutions optimales. Il s´agit de construire des solutions à partir de leurs génomes qui définissent la façon dont elles se comportent et, donc, la façon dont elles sont évaluées. De tels génomes sont modélisés par des chaînes de bits et un problème important est celui de leur codage.
         Les algorithmes génétiques sont des méthodes d´optimisation.À la différence des méthodes classiques qui ne peuvent résoudre que les problèmes parfaitement bien posés, les algorithmes génétiques peuvent résoudre des problèmes mal posés et c´est la raison pour laquelle nous les étudieront dans le cadre de la création artistique.
         Ce sont des algorithmes d´exploration faisant appel à la sélection et à la génétique. Ils favorisent les organismes les mieux adaptés par un échange aléatoire d´information et ne sont pas sans rappeler la façon dont les êtres vivants procédent pour résoudre des problèmes. Leur principale application est l´amélioration de la robustesse des systèmes artificiels devant évoluer dans un environnement imprévisible, on en attend aussi une amélioration des connaissances sur les systèmes naturels. L´auto-réparation, l´auto-guidage et la reproduction, qui sont des caractéristiques du vivant, sont étendus aux systèmes artificiels diminuant d´autant leur coût en terme de maintenance. Il est tentant de s´inspirer de la nature, qui réussit si bien dans ce domanie, et c´est ce qu´a fait John HOLLAND [HOLLAND 1975]. Ils s´appliquent aujourd´hui dans le monde des affaires, dans le domaine militaire, en recherche scientifique, en ingéniérie et aussi dans le domaine artistique [SIMS 1991, 1994].

Méthodes d´optimisation

              Optimisation

              Méthodes analytiques

              Méthodes énumératives

              Méthodes aléatoires

Optimisation

         Optimiser c´est trouver une méthode pour atteindre le meilleur lorsque l´on a défini une mesure de la qualité de ce que l´on cherche à optimiser. Il faut distinguer le processus de recherche et l´optimum à atteindre. En particulier Une méthode atteignant rapidement un optimum approché peut être préférée, dans certains cas, à une méthode donnant l´optimum vrai en un temps prohibitif.

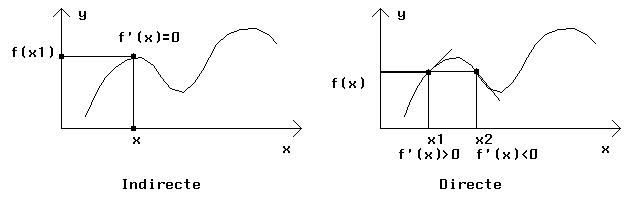
Méthodes analytiques

         Elles supposent que la fonction dont on cherche un minimum est continue et dérivable.
         Les méthodes indirectes résolvent les systèmes d´équations obtenues en annulant le gradient (extremums aux points de pente nulle).
         Les méthodes directes reviennent à se déplacer dans une direction telle que le gradient soit maximum en module.
         Dans les deux cas les extremums trouvés sont locaux et dépendent du point de départ. De plus la plupart des fonctions "interessantes" ne sont pas dérivables et souvent même pas continues.
         Ces méthodes ne sont applicables que pour des fonctions très particulières et donc pour des problèmes très spécifiques.



Figure 1-2: Méthodes indirecte et directe


Méthodes énumératives

         Un balayage systématique de l´ensemble de définition de la fonction (supposé fini ou du moins discrétisé) permet d´atteindre les extremums. Il est évident qu´une telle méthode est inefficace dès que l´espace d´exploration est grand.

Méthodes aléatoires

         En remplaçant le balayage systématique par un échantillonnage aléatoire on retombe sur la même inefficacité qu´avec la méthode précédente.



Figure 1-3: Méthodes énumérative et aléatoire


         Cependant on verra que les algorithmes génétiques utilisent aussi l´aléatoire, mais de façon dirigée et "intelligente".
         Ces deux dernières méthodes s´appliquent bien à tous les problèmes, mais avec des taux de réussite tout à fait désastreux. Il reste donc à trouver des méthodes plus générales s´appliquant également à tous les problèmes, c´est à dire des méthodes robustes.

Caractérisation des algorithmes génétiques

         Les algorithmes génétiques se caractérisent par:
         1) Ils utilisent un codage des paramètres et non les paramètres eux-mêmes. Alors que dans les méthodes traditionnelles le codage est intimement lié à la spécificité du problème à résoudre, dans les algorithmes génétiques le codage est arbitraire, on dit qu´ils sont aveugles.
         2) Ils travaillent sur une population d´individus et non pas sur des points isolés. La recherche d´un extremum est menée en parallèle par plusieurs individus, réduisant ainsi le risque de n´atteindre qu´un extremum local.
         3) Ils n´utilisent pas les propriétés de la fonction à optimiser, en particulier celle-ci n´est supposée ni dérivable ni continue, d´où leur généralité d´application.
         4) Enfin ils sont probabilistes et non pas déterministes, se rapprochant par là des phénomènes naturels.
         5) Ils empruntent leur vocabulaire à celui de la génétique naturelle:
         Les chromosomes (batonnets porteurs de l´information génétique) sont constitués de gènes pouvant prendre différentes valeurs appelées allèles, un ou plusieurs chromosomes constituent le plan de construction et de fonctionnement d´un organisme. On parlera, en génétique artificielle, de chaînes de caractères pris dans un certain vocabulaire, l´ensemble des chaînes est appelé une structure.
         La position d´un gène, ou son locus, est indépendante de sa fonction. De même, le codage des paramètres d´un problème ne devra pas utiliser leur signification.
         Le génotype est l´ensemble du matériel génétique, et le phénotype est l´organisme formé par l´interaction du génotype avec son environnement. On parlera d´un ensemble de paramètres formés par les structures décodées, encore appelés solutions.