PRODUIT SCALAIRE



Définitions
Interprétation géométrique
Applications

















































Définitions


       Produit scalaire

       Propriétés

       Module d´un vecteur

       Vecteur unitaire

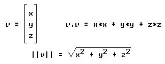
Produit scalaire

       Le produit scalaire de deux vecteurs v1 et v2, dans un repère orthonormé, est le nombre réel noté v1.v2, défini par:


Propriétés

        Symétrie:
        v1 . v2 = v2 . v1
        Multiplication par un nombre:
        k * (v1 . v2) = (k * v1) . v2 = v1 . (k * v2)
        Distributivite par rapport a la somme vectorielle:
        v1 . (v2 + v3) = v1 . v2 + v1 . v3

Module d´un vecteur

        Le produit scalaire d´un vecteur par lui-même est un nombre positif ou nul dont la racine carrée est appelée le module de ce vecteur:



        Le vecteur neutre de l´addition, ou vecteur nul, a pour module 0:


Vecteur unitaire

        Un vecteur est dit unitaire si son module vaut 1. Exemple:



        Un vecteur divisé par son module est unitaire:


Interprétation géométrique


       Cosinus de l´angle de deux vecteurs

       Projection d´un vecteur sur un autre

       Vecteurs orthogonaux

Cosinus de l´angle de deux vecteurs

       Le produit scalaire de deux vecteurs est égal au produit de leurs modules par le cosinus de leur angle:


        En particulier, le produit scalaire de deux vecteurs unitaires est égal au cosinus de leur angle.

Projection d´un vecteur sur un autre

        Le produit scalaire de deux vecteurs est égal au produit de la longueur de l´un par la mesure algébrique de la projection de l´autre sur lui.


        Si l´angle (OA,OB) est inférieur à PI/2 le produit scalaire est positif, si cet angle est supérieur à PI/2 le produit scalaire est negatif et si cet angle est égal à PI/2 le produit scalaire est nul.

Vecteurs orthogonaux

        Pour que deux vecteurs soient orthogonaux il faut et il suffit que leur produit scalaire soit nul.


Applications



       Distance de deux points


       Vecteur orthogonal à un vecteur donné


       Vecteur symétrique d´un autre


       Plan passant par un point et orthogonal à un vecteur


       Intersection d´une droite avec un plan

Distance de deux points

        La distance de deux points A(xa,ya,za) et B(xb,yb,zb) est le module du vecteur AB de composantes (xb-xa), (yb-ya) et (zb-za), donc:
distance(A,B) = sqrt((xb-xa)*(xb-xa) + (yb-ya)*(yb-ya) + (zb-za)*(zb-za))
En particulier la distance du point M(x,y,z) a l´origine est:
        distance(M,O) = sqrt(x * x + y * y + z * z)

Vecteur orthogonal à un vecteur donné

       Soient 2 vecteurs liés v1 et v2 de même origine O formant un plan, trouver un vecteur v3 d´origine O dans ce plan et orthogonal à v2:
        Puisque v3 est dans le plan défini par v1 et v2 il peut s´exprimer comme combinaison linéaire de v1 et v2, il existe donc k1 et k2 tels que:
        v3 = k1*v1 + k2*v2
        Puisque v3 est orthogonal à v2, leur produit scalaire est nul:
        v3.v2 = 0, soit: (k1*v1 + k2*v2).v2 = 0
        k1*(v1.v2) + k2*(v2.v2) = 0, soit:
        k1*(v1.v2) + k2*||v2||2 = 0 d´où
        k2/k1 = -(v1.v2)/||v2||2
        Prenons k1=1 d´ou: k2 = -(v1.v2)/||v2||2 et donc:
        v3 = v1 - v2*(v1.v2)/||v2||2


Vecteur symétrique d´un autre

        Soient deux vecteurs unitaires de même origine N et L, trouver R symétrique de L par rapport à N: Pour des raisons de symétrie la somme de L et de R est collinéaire à N, il existe donc k tel que:
        L + R = k * N
        Mais le module k de cette somme est le double de la projection de L sur N donc, puisqu´il s´agit de vecteurs unitaires:
        k = 2 * L . N, donc:
        L + R = (2 * L . N) * N, d´ou: R = (2 * L . N) * N - L
        Application à la synthèse:
        Si N est la normale à une surface en M, si L est dirigé vers une lumière ponctuelle, alors R est la direction spéculaire.


Plan passant par un point et orthogonal à un vecteur

        Soit le point A(xa,ya,za) et le vecteur N(nx,ny,nz). Pour qu´un point M(x,y,z) appartienne au plan passant par A et orthogonal à N il faut et il suffit que AM soit orthogonal à N c´est à dire que le produit scalaire de AM par N soit nul. D´où l´équation de ce plan:



        L´équation d´un plan est du premier degré en x, y et z. Réciproquement tout équation du premier degré en x, y et z est celle d´un plan.
        En synthèse on stocke l´équation du plan d´une facette triangulaire sous la forme des 4 nombres (u,v,w,h). Une telle équation peut être utilisée par exemple pour trouver l´intersection d´un rayon lumineux avec la facette (dans l´algorithme du "lancer de rayon"):

Intersection d´une droite avec un plan

        Le plan est donné par le point A et le vecteur normal N. La droite est donnée par un point B et un vecteur directeur d. Un point M de la droite s´écrit: